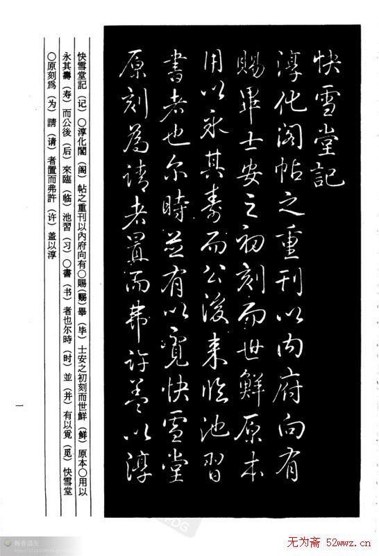
快雪堂,清乾隆四十四年(公元1779年),乾隆皇帝得到元代书法家赵孟頫临晋代王羲之《快雪时晴帖》石刻,特增建了金丝楠木的快雪堂。快雪堂四周由彩绘游廊连接,在东西两侧的游廊内嵌有晋代至元代20位书法家的80篇墨迹石刻48方,其中王羲之的《快雪时晴贴》与乾隆皇帝的《快雪堂记》最为著名。
王羲之《快雪时晴帖》原文:
羲之顿首,快雪时晴,佳想安善。未果为结力不次,王羲之顿首。山阴张侯。






			分类:历代书法名家作品大全
			标签:
		
	快雪堂,清乾隆四十四年(公元1779年),乾隆皇帝得到元代书法家赵孟頫临晋代王羲之《快雪时晴帖》石刻,特增建了金丝楠木的快雪堂。快雪堂四周由彩绘游廊连接,在东西两侧的游廊内嵌有晋代至元代20位书法家的80篇墨迹石刻48方,其中王羲之的《快雪时晴贴》与乾隆皇帝的《快雪堂记》最为著名。
王羲之《快雪时晴帖》原文:
羲之顿首,快雪时晴,佳想安善。未果为结力不次,王羲之顿首。山阴张侯。





